网站首页  词典首页


请输入您要查询的字词:

 

字词 方锥管的设计计算实例
类别 中英文字词句释义及详细解析
释义 方锥管的设计计算实例

【说明】 方锥管进浆分布器的设计计算,除上述计算步骤及方法外,还可参考下述方法直接进行设计计算。

【例】 某厂新安装的1575卫生纸机网前箱采用了方锥管多管进浆形式,用δ=12mm硬塑料板拼焊,一侧焊Φ42mm塑料管12根作多管进浆。已知条件及参数如下:

纸机车速V=60m/min 抄宽B=1.70m

纸的定量q=22g/m2 回流比R=12%

溢流比Y=10% 上网浓度C=0.1%

成纸水分W=7%

试进行设计计算。

解:
❶ 方锥管进浆量Q

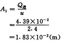
❷ 进口端面尺寸确定

总管流速一般选2~3m/s,取μ=2.4m/s,则方锥管端面面积A1

进口端面长宽比一般为H/b=0.5,因利用原有材料,取b=95mm。则进口端号度H1为:

❸ 回流端面尺寸确定

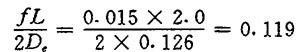
方锥管进口端水力直径De

取方锥管长(可取网槽宽)L=2000mm,摩擦系数(0.012~0.015,低浓取上限,高浓取下限)f=0.015,则:

取浆料分配系数λ=R=12%,则回流端面面积A0为:

回流端面长度H0为:

随便看

 

离鸟网收录3541549条中英文词条,其功能与新华字典、现代汉语词典、牛津高阶英汉词典等各类中英文词典类似,基本涵盖了全部常用中英文字词句的读音、释义及用法,是语言学习和写作的有利工具。

 

Copyright © 2004-2024 vtrois.com All Rights Reserved
更新时间:2026/4/8 5:36:25