旋光测定
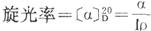
是一种测定物质的光学活性的化学分析方法。 具有光学活性的物质是不对称的,即它们的分子或晶体没有对称平面或对称中心,这些不对称分子能以光学异构体的形式存在。这两种光学异构体的一般物理、化学性质相同,但对平面偏振光的旋转方向不同。由于两种异构体分别具有对偏振光平面向右或左旋的性质,故称为旋光异构体。其中一个称右旋异构体,用d表示;另一个称左旋异构体,用1表示。如果两种异构体浓度相等,则向右和向左旋的程度相等,旋光性抵消,这样的混合物称为外消旋混合物,它的溶液不能使偏振光平面旋转,是无光学活性的。 测量旋光异构体使平面偏振光转动程度的方法称为旋光测定(偏振)法。 使用的仪器叫旋光计,旋光测定法可用以分析有机物质和无机物质。 使平面偏振光转动的程度与物质性质、光程长度、溶液温度、所用光线波长、溶剂和物质的浓度有关。 在大多数工作中,用钠光谱的D线( )黄光按下式测定旋光率。  式中α为测得的转动角度,1为液柱长度(分米)、ρ为溶液密度。换名话说,旋光率为钠D线的平面偏振光通过一个含有浓度为1克/毫升的溶液的10厘米长的试样管,在20℃时的转动度数。 偏振法可用以定性分析或定量分析,在定性分析中,如显示有光学活性物质的存在,计算其旋光率,即可鉴定这个未知物。 在定量分析中,一个光学活性物质的含量可以从这个组分的百分数对角旋光度的校正曲线或从旋光率测定,假设角旋光度是与含量成线性关系的。用这种分析方法,溶液中只允许存在一种光学活性物质。 旋光法可测定糖溶液、酒石酸、许多甾族化合物以及其他生物学和生物化学中的重要化合物。因为旋光形式不同的有机化合物,其生物活性差别很大,所以旋光法广泛用于生物化学研究以鉴定分子构型。 |