网站首页  词典首页


请输入您要查询的字词:

 

字词 无偏估计量
类别 中英文字词句释义及详细解析
释义 无偏估计量

亦称“不偏估计量”。

指估计量的数学期望等于它所估计的总体参数的参数估计量。估计量是一个随机变量,而一个具体样本取得的估计值只是一个可能数值,不一定等于所估计的总体参数。一个好的估计量应该以被估计的总体参数为其平均值。用公式表示为:

式中为估计量,θ为需要估计的总体参数。估计量的数学期望恰好等于被估计的总体参数,则这个估计量称为无偏估计量。如样本平均数就是总体平均数μ的无偏估计量,因为

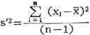
样本方差s2不是总体方差σ2的无偏估计量,而样本修正方差s′2才是总体方差σ2的无偏估计量。其公式为:

当n很大时,样本修正方差s′2与样本方差s2相差甚微;当n很小时,两者差异显著。

根据一般经验,如为大样本,用s2估计σ2为宜;如为小样本,用s′2估计σ2为宜。

随便看

 

离鸟网收录3541549条中英文词条,其功能与新华字典、现代汉语词典、牛津高阶英汉词典等各类中英文词典类似,基本涵盖了全部常用中英文字词句的读音、释义及用法,是语言学习和写作的有利工具。

 

Copyright © 2004-2024 vtrois.com All Rights Reserved
更新时间:2026/4/6 21:37:19