无味红霉素[典]
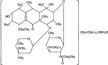
C40H71NO14·C12H26O4S=1O56.39 CAS-3521-62-8 红霉素2′-丙酸酯的十二烷基硫酸盐。 Erythromycin 2′-propionate dodecylsulfate(salt). 抗生素类药。用于对青霉素耐药的葡萄球菌感染、支原体肺炎及白喉带菌者。 依托红霉素。 Erythromycin Estolate,Erythromycin Propionate Launyl Sulfate,Ilosone. 无味红霉素片(依托红霉素片)。 BAN,BP,USAN,USP,MI. 
|