网站首页  词典首页


请输入您要查询的字词:

 

字词 无形资产价值评估
类别 中英文字词句释义及详细解析
释义 无形资产价值评估

1.无形资产价值评估的原则

在无形资产价值评估中,必须坚持下述原则:

(1)成本计价的原则

某些无形资产的价值,是以其实际成本来确定的,如场地使用权,就是以其取得时发生的实际成本(征地费)来确定的。

(2)效益计价的原则

某些无形资产的价值不是以其实际成本,而是依其应用后所创造的效益来确定的,如专利权,版权、商标权等。

(3)技术寿命的原则

有的无形资产在不同国家或地区,法律已规定其有效寿命期,应据此确定其价值大小。

(4)行业对比原则

某些无形资产依照其产品信誉等级、企业知名度、销售范围、兴衰历史等因素,与国内外同行业进行对比分析,以确定其价值大小。

(5)合同随机的原则

在中外合资、合作、技贸结合等技术引进中,较为普遍采用的是合同随机的原则。对引进某种产品或某项技术、根据商业信息、技术应用的广度与深度,参考国际惯例,选择恰当时机,双方通过谈判而确定其价值,如工业产权、专有技术、租赁权等都是如此。。

2.无形资产的价值评估方法

对无形资产的评估,主要采用历史成本法或重置成本法。对于自创或购进的无形资产成本资料齐备的,按现行会计制度一般采用历史成本法,依据有关原始凭证归集汇总;如果成本资料不齐备,则应采用重置成本法确定。不论是按历史成本法或重置成本法确定的无形资产都是该项资产的原值,其净值应该等于自创或购建该项无形资产还未摊销的费用额。

无形资产与固定资产的特征类似,这是因为其使用价值一般将在较长时间内发挥作用。另外,无形资产使用价值的变化决定于技术进步或环境改变对其无形损耗的程度。而技术进步或环境变化的发生时间是很难准确确定的,因此常常出现自创或购进该项无形资产的费用已摊销完毕,即净值为零时,该项无形资产的使用价值仍然存在,而且通过转让还可以立即取得较大的收益的情况。为此,为了有效地对这类无形资产进行管理,该项无形资产的原值应仍保留挂帐,直到该项无形资产的原值已不具有使用价值或转让出去之后,才应该核销其原值。

按规定,资产占用单位外购的无形资产,按购入成本及该项资产具有的获利能力确定重估价值,占用单位自创或自身拥有的无形资产,按自创时所耗费的实际成本及具有的获利能力确定重估价值。占用单位自创或自身拥有的未经单位计算成本的无形资产,按该项无形资产具有的获利能力确定重估价值。具体说来,无形资产的评估方法主要有下述两种。

(1)收益现值法

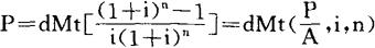
收益现值法指按被评估无形资产预期获利能力来计算资产现值,并由此现值确定重估价值。其公式为:

式中:

P——无形资产评估值

Mt——使用该无形资产后第七年利润增量

t——年份

n——无形资产使用年限

i——贴现率

d——社会贡献率,系指出让方分享追加利润的比例,一般取5%-30%;如果每年利润增量相等,即Mt为常量,则:

其中,称现值系数,一般用(,i,n)表示。现值系数可查复利表取得。

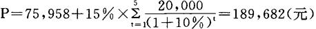
例如:某企业研制出一种技术,使用该技术每年都为该企业增加利润20万元,如果该技术有效期为5年,已知贴现率为10%,社会贡献率为15%。则该项技术的评估价值为:

(2)成本——收益现值法

成本——收益现值法就是根据自创时所耗费的实际成本或外购时的购入成本和获利能力来计算资产的现值,并考虑影响价格的因素,以此来确定无形资产的重估价值。其评估公式为:

式中:

P——无形资产评估值

C—总成本(指自创时实际成本或外购时的购入成本)

Mt——使用该无形资产后第七年利润增量

t——年份

n——无形资产使用年限

i——贴现率

d——社会贡献率

对总成本的评估,如果是外购的无形资产,C=外购成本

对于自创的无形资产,

这里,V—活劳动消耗,指为完成无形资产而占用的科技人员、辅助人员的工资和工资附加等。

C1——物化劳动消耗,指为完成无形资产所耗费材料、动力、辅料等物质费用以及专用设备、外协费、折旧费、管理费。

B1——创造性劳动的倍加系数

B2——科研的平均风险率

B3——无形损耗率

例如,某企业研制成一项新技术,已知数据如下:原材料费20,000元,辅料费4,000元,燃料动力费2,500元,科研及辅助人员工资、津贴等8,000元,专用设备费4,000元,咨询资料培训费等11,000元,差旅费500元,管理费1,000元,固定资产折旧费25,000元,其他开支2,000元。该技术使用后,估计每年增加利润200,000元,若技术有效期为5年,该企业研制该项新技术的平均风险损失率5%,社会贡献率15%,创造性劳动倍加系数1.5,无形损耗率为12%,贴现率为10%,则该技术的总成本为:

因此,该项技术的评估价值为:

3.无形资产的分类评估

无形资产的种类繁多,彼此之间的差异较大,因此价值评估的方法和内容也有较大差异,下面对无形资产价值评估予以分类说明。

(1)对技术知识产权(包括专有技术,专利权、版权)的价值评估

技术知识产权的价值评估一般有成本法和收益法两种,如购入的知识产权一般以购入价为准,自创的知识产权应提供专利证书、有效状况,技术特征、实用价值和研究开发费用,以研究开发成本作为知识产权的评估价值。用收益法进行评估,可以把因技术或人员素质在有效年限内产生的超额收益进行折现,计算出其价值。

购入技术知识产权的价值,按其购入成本减去已摊销价值后的净值计价,其公式为:

如果规定的使用年限与实际使用年限有较大出入时,应对原规定的使用年限加以调整。

例如:某企业3年前购入一项专有技术。购入成本30万元,当时规定有效期为5年,评估时,专家认为该项技术还可使用3年,则其评估值为:

对于自创的技术知识产权的价值评估,主要取决于该项技术在有效期内,可获得的经济收益及转让费率。在评估时应通过咨询、预测和专家审定等办法,对该项技术的实用价值或技术先进程度进行合理的评估和鉴定,测算出接受该项技术后每年可增加的销售额或利润额。还应考虑到该项技术知识在生产能力中所起的作用,不能把销售额或利润额的增加作为接受该项无形资产后的全部结果,因为企业销售额或利润额的增加可能是多种因素影响的结果,在取得这些资料的基础上,就可以确定该项技术知识产权的价值。其公式为:

式中:

i——资金的时间价值率

t——年份

n——该项专利有效年限

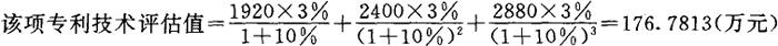
例如:某企业两年前自行开发一项专利权,有效期为5年,经测定其在生产能力中的作用为40%,根据现有技术水平测算,使用该项专利后,可新增经济效益。第一年增加销售额为1,920万元,第二年、第三年分别为2,400万和2,880万元。如果专利技术的转让费率定为新增销售额的3%,资金的时间价值率按10%计算,则该项专利技术的评估价值为:

(2)对商标价值的评估

商标往往代表商品的质量和信誉,直接影响企业的产品销售。商标的经济价值,主要体现在它能使使用者较所有者取得较大的获利能力。其价值评估公式为:

某商标的评估价值=当时开发时开发费用的现值+该商标所带来的经济价值

例如:某企业要出售一商标。根据资料,该商标在开创时,商标设计费10000元,注册登记费1000元,该企业在1990年资产评估时,确定商誉价值为10万元,可确指的无形资产共二项,成本现值之和为15万元,银行利率为10%,该商标是在1980年开创的。则:

该商标当初开发费用现值为:

(10,000+1,000)×(1+10%)10=28,531(元)

该商标所带来的经济价值为

因此,该项商标的评估价值为:

28,531+19,021=47,552(元)

(3)土地使用权和租赁权的价值评估

土地使用权属租赁权的一种。在我国,土地所有权属于国家,但企业有土地使用权,土地使用权可有偿转让。

租赁权是承租人付出一定报酬,在契约期限内占有使用租赁财产的权利。如果租赁关系能使承租人获得额外的收益,租赁权就构成一种无形资产,如果属于可以转让的租赁权,可以考虑其价值,估值方式一般是双方协商,在双方有利可图时才能成交。

在中外合资时,中方土地使用权作为投资时的估价,要考虑土地面积,每年单位面积使用费标准和土地使用年限。其评估公式为:

土地使用权评估值=土地面积×每年单位面积使用费标准×合资年限

如果考虑资金时间价值因素,则应将土地使用权的价值折算为现行价值,其计算公式为:

式中:

n——土地使用年限

t——年份

i——资金的时间价值率(以银行贷款利率计算)

例如:某企业以土地7000平方米对外投资,每平方米使用费为15元,土地使用年限为4年,当时银行贷款利率为10%,则土地使用权的评估现值为:

(4)商誉的价值评估

商誉的价值评估主要有两种方法,即现值法和残值法。

❶ 现值法

现值法主要是和超额收益有关。一般认为,超额收益就是高于同类企业的收益。这里所说的同类企业,是指同行业中那些面临相同风险的企业,表明在商誉中存在的超额收益是相对的。如假设同行业中的其他企业的收益都在增加,而该行业中具有商誉的某一企业的收益却保持不变,这个企业的商誉就会仅仅由于同类企业中竞争者收益的相对增加而贬值。

由于为商誉所支付的代价,是超额的预期未来收益的付款,因而就必须把这些超额的未来收益变为现值。因而,商誉价值评估的基本公式为:

式中:

D——预期未来年收益

r——该行业典型的不变年所得率

C——企业的资本额

j——商誉的本金化率(即在商誉项目上可获得的年所得率)

G——商誉评估价值

例:某企业预期未来收益为80000元,该企业拥有资本400000元。商誉本金化率按15%予以折算,所属行业典型的年所得为12%,则该企业商誉的评估价值为:

❷ 残值法

残值法是和商誉的总计价帐户相联系的,即先把一切有形资产和负债项目以及可辨认的无形资产项目,都用现行价值计价,各项净资产的现行价值和购价相比的差数,就确认为商誉价值。

例如,甲企业用现金100万元购买了乙企业的全部股份。在一切资产和负债项目都按其现行价值计价以后,乙企业的净资产值为92.5万元。因此通过这一交易确认的商誉价值为7.5万元(100-92.5)。显而易见,用残值法计算商誉,要取决于各项目估计现行价值的可靠性。

一般而言,商誉的价值只有在企业产权整体转让中才能通过评估得到反映,所以商誉只能通过综合评估(整体评估)所确定的企业资产重估价值与单项资产加总方式所确定的企业重估价值的比较来取得。因此对商誉价值的评估,通常采用整体功能法,其计算公式为:

商誉评估价值=企业整体资产评估价-单项资产评估价之和(指可确指的无形资产),其中,

单项资产评估价是企业资产的重置成本。

商誉的价值可能为正值,也可能为负值,也可能为零,只有当被评估企业的预期资产收益率高于社会平均收益率,特别是高于行业基准收益率时,商誉才为正值。

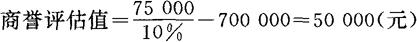
例如:某企业年均收益额为75000元,行业平均利润率为10%,企业单项资产重置成本之和为700000元,商誉的价值为:

除用上述评估方法外,还可以用下述方法评估:

商誉评估值=被评估企业资产的重置成本×(被评估企业预计资本收益率-行业基准收益率)÷行业基准收益率

这里,被评估企业资产重置成本相当于企业各单项资产重置成本之和。

仍以上例为例,按本公式计算的商誉价值为:

随便看

 

离鸟网收录3541549条中英文词条,其功能与新华字典、现代汉语词典、牛津高阶英汉词典等各类中英文词典类似,基本涵盖了全部常用中英文字词句的读音、释义及用法,是语言学习和写作的有利工具。

 

Copyright © 2004-2024 vtrois.com All Rights Reserved
更新时间:2026/4/7 11:09:06