无穷递缩等比数列(|q|<1)的各项和
数列a1,a1q,a1q2,…(|q|<1)前n项的和,当n无限增大时的极限,叫做这个无穷递缩等比数列各项的和,记为S,即 . 例1 (1)使lim(2x+1)n=0成立的实数x的取值范围是____. (2)使 存在的实数x的取值范围是____. 解 成立 —1 存在 —1
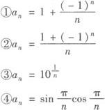
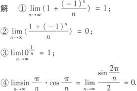
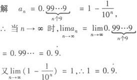
(1)依题意有—1<2x+1<1,解得—1 ∴x的取值范围是(—1,0). (2)依题意有—1<2x+1≤1,即—1 ∴x的取值范围是(—1,0]. 例2 对于数列{an}若 =0,则称数列{an}为无穷小数列,在下列各数列中为无穷小数列的是( ).  A.❶ ❷ B.❶ ❸ C.❷ ❹ D.❸ ❹  故选C 探索延拓创新 例3 比较1与0.9的大小.  |