网站首页  词典首页


请输入您要查询的字词:

 

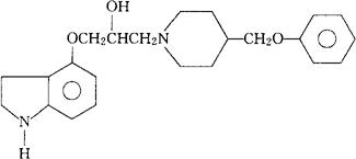
字词 明多地洛
类别 中英文字词句释义及详细解析
释义 明多地洛

C23H28N2O3=380.49

CAS-70260-53-6

(±)-α-[(吲哚-4-基氧)甲基]-4-(苯氧甲基)-1-哌啶乙醇。

(±)-α-[(Indol-4-yloxy)methyl]-4-(phenoxymethyl)-1-piperidineethanol.

β-受体阻滞药,血管扩张药。

Mindodilol,BM 12434.

INN,USAN.

随便看

 

离鸟网收录3541549条中英文词条,其功能与新华字典、现代汉语词典、牛津高阶英汉词典等各类中英文词典类似,基本涵盖了全部常用中英文字词句的读音、释义及用法,是语言学习和写作的有利工具。

 

Copyright © 2004-2024 vtrois.com All Rights Reserved
更新时间:2026/4/6 17:48:17