显微镜直接观察法
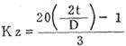
即测定成熟系数的检验方法。 它是中腔胞壁对比法的测定方式之一。即不需要对试样纤维进行氢氧化钠膨化处理,而直接采用显微镜进行观测的方法。 测定的基本原理为:如果我们将一根棉纤维横截面的周长画成圆,则此圆的直径D可作为纤维的理论直径,如果设D为棉纤维的理论直径,C为周长,则: D=C/π 用同法求出中腔理论直径do,计算棉纤维横截面面积S1(不包括纤维的中腔),则   式中t为胞壁厚度。 测试标准规定:最不成熟的棉纤维,成熟系数为0.00时, ;一般成熟的棉纤维,成熟系数为2.00时, ;最成熟的棉纤维,成熟系数为5.00时, 。 成熟系数每增加0.25, 增加0.0375。成熟系数与 比例值呈直线关系。 由成熟系数与 比例值对照表的关系可推导出成熟系数Kz的计算公式:  棉纤维在棉铃裂开以后因纤维干涸而瘪缩变形,要测 是不太方便的,故在实际测定中采用以显微镜观察到的纤维的中腔宽度与细胞壁的厚度比值(腔壁比),并结合棉纤维的外观形态来确定棉纤维的成熟系数。 |