普劳莫林
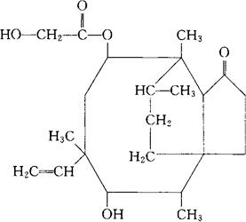
C22H34O5=378.51 CAS-125-65-5 羟乙酸6-乙烯基十氢-5-羟-4,6,9,10-四甲基-1-氧代-3a,8-丙桥-3aH-环戊二烯环辛烯-8-酯。 Hydroxyacetic acid 6-ethenyldecahydro-5-hydroxy4,6,9,10-tetramethyl-1-oxo-3a,8-propano-3aH-cyclopentacycloocten-8-yl ester. 乙醇酸8-酯与八氢-5,8-二羟基-4,6,9,10-四甲基-6-烯乙基-3a,9-丙烷基-3aH-环戊环辛烯1(4H)-酮。 Glycolic acid 8-ester with octahydro-5,8-dihydroxy4,6,9,10-tetramethyl-6-vinyl-3a,9-propano-3aHcyclopentacycloocten 1(4H)-one. 抗生素类药。具有抗革兰阳性菌的活性。 脆柄菇素B,截短侧耳素。 Pleuromutilin,Drosopholin B. INN,USAN.  |