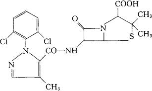
普唑西林
C19H18Cl2N4O4S=469.34 CAS-15949-72-1 6-[[1-(2,6-二氯苯基)-4-甲基吡唑-5-甲酰胺]-3,3-二甲基-7-氧代-4-硫杂-1-氮杂双环[3.2.0]庚烷-2-羧酸。 6-[l1-(2,6-Dichlorophenyl)-4-methylpyrazole-5-car boxamido]-3,3-dimethyl-7-oxo-4-thia-1-azabicyclo[3.2.0]heptane-2-carboxylic acid. 抗生素类药。 Prazocillin,Pirazocillin,Pyrazocillin. INN,USAN.  |