网站首页  词典首页


请输入您要查询的字词:

 

字词 普拉贝克肌苷
类别 中英文字词句释义及详细解析
释义 普拉贝克肌苷

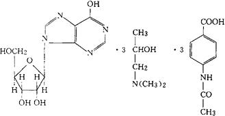
C10H12N4O5·3(C5H13NO)·3(C9H9NO3)=1115.26

CAS-36703-88-5

肌苷-2-羟丙基二甲基铵4-乙酰胺基苯甲酸盐(1∶3)。

Inosine-2-hydroxypropyldimethylammonium 4-ace--tamidobenzoate(1∶3).

单-4-(乙酰氨基)苯甲酸肌苷,(盐)与1-(二甲氨基)-2-丙醇(1∶3)的化合物。

Inosine,mono 4-(acetylamino)benzoate(salt)com pd.with 1-(dimethylamino)-2-propanol(1∶3).

抗病毒药,免疫促进药。

Inosine Pranobex,lnosiplex,Isoprinosine,Methisoprinol,Delimmun,Pranosine,Viruxan.

BAN,USAN,MI.

随便看

 

离鸟网收录3541549条中英文词条,其功能与新华字典、现代汉语词典、牛津高阶英汉词典等各类中英文词典类似,基本涵盖了全部常用中英文字词句的读音、释义及用法,是语言学习和写作的有利工具。

 

Copyright © 2004-2024 vtrois.com All Rights Reserved
更新时间:2026/4/7 15:15:30