网站首页  词典首页


请输入您要查询的字词:

 

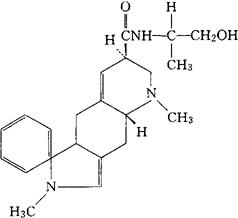
字词 普罗麦角
类别 中英文字词句释义及详细解析
释义 普罗麦角

C20H25N3O2=339.44

CAS-5793-04-4

9,10-二去氢-N-[(S)-2-羟-1-甲基乙基]-1,6-二甲基麦角灵-8β-羧酰胺。

9,10-Didehydro-N-[(S)-2-hydroxy-1-methylethyl]-1,6-dimethylergoline-8β-carboxamide.

镇痛药。用于治疗偏头痛。

普司及得。

Propisergide,Ergolgin.

INN,USAN.

随便看

 

离鸟网收录3541549条中英文词条,其功能与新华字典、现代汉语词典、牛津高阶英汉词典等各类中英文词典类似,基本涵盖了全部常用中英文字词句的读音、释义及用法,是语言学习和写作的有利工具。

 

Copyright © 2004-2024 vtrois.com All Rights Reserved
更新时间:2026/4/7 16:38:42