网站首页  词典首页


请输入您要查询的字词:

 

字词 普西奈德
类别 中英文字词句释义及详细解析
释义 普西奈德

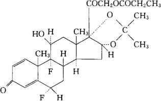
C27H34F2O7=508.56

CAS-58497-00-0

6α,9-二氟-11β,16α,17,21-四羟孕甾-1,4-二烯-3,20-二酮与丙酮形成环16,17-乙缩醛,21-丙酸酯。

6α,9-Difluoro-11β,16α,17,21-tetrahydroxypregna1,4-diene-3,20-dione cyclic 16,17-acetal with acetone,21-propionate.

皮质激素类药。

丙酸二氟缩松,普西缩松。

Procinonide.

INN,USAN.

随便看

 

离鸟网收录3541549条中英文词条,其功能与新华字典、现代汉语词典、牛津高阶英汉词典等各类中英文词典类似,基本涵盖了全部常用中英文字词句的读音、释义及用法,是语言学习和写作的有利工具。

 

Copyright © 2004-2024 vtrois.com All Rights Reserved
更新时间:2026/4/6 23:33:30