普阿松分布
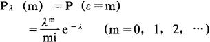
随机变量的变化情况决定于其分布律。 在实践中虽然有多种多样的随机变量分布,但根据长期的经验和理论证明,大部分随机变量都遵从某些类型的分布律。普阿松(Poisson)分布是离散随机变量分布律的一种类型,亦有译为“泊松分布”的。 普阿松分布的定义是,如果随机变量ε的概率函数是:  其中λ>0,则称ε服从普阿松分布。此时有 ε的数学期望:Eε=λ ε的方差: Dε=λ 利用级数可求出:  普阿松分布的方便之处在于有现成的普阿松分布表可查,免去复杂的计算。 普阿松分布常见于所谓稠密性的问题中,如一段时间内,电话用户对电话台的呼唤次数,候车的旅客数,原子放射粒子数,织机上断头的次数,以及零件铸造表面上一定大小面积内的砂眼个数等等。 |