网站首页  词典首页


请输入您要查询的字词:

 

字词 普鲁卡因青霉素G[典]
类别 中英文字词句释义及详细解析
释义 普鲁卡因青霉素G[典]

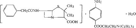
C13H20N2O2·C16H18N2O4S·H2O=588.71

CAS-6130-64-9

(2S,5R,6R)3,3-二甲基-7-氧代-6-(2-苯乙酰胺基)-4-噻-1-氮杂双环[3.2.0]庚烷与-2-羧酸与-2-(二乙氨基)乙基-对-氨基苯甲酸[1∶1]化合物-水化合物。

(2S,5R,6R)-3,3-Dimethyl-7-oxo-6-(2-phenylacetamido)-4-thia-1-azabicyclo[3.2.0]heptane-2-carboxylic acid compound with 2-(diethylamino)ethyl p-aminobenzoate(1∶1)monohydrate.

抗生素类药。作用比青霉素稍弱,但维持时间较长。

用于青霉素敏感菌感染。

普鲁卡因青霉素G,普青,苄基青霉素普鲁卡因。

Procaine Benzylpenicillin,Penicillin G Procaine,Procaine Penicillin G,Duracillin,Crysticllin,Procaine Penieillin.

注射用普鲁卡因青霉素,注射用普鲁卡因青霉素G,油制普鲁卡因青霉素G注射液。

BP,DCIT,DCF,GDP,JP,NP,NFN,PH,USP,MI.

随便看

 

离鸟网收录3541549条中英文词条,其功能与新华字典、现代汉语词典、牛津高阶英汉词典等各类中英文词典类似,基本涵盖了全部常用中英文字词句的读音、释义及用法,是语言学习和写作的有利工具。

 

Copyright © 2004-2024 vtrois.com All Rights Reserved
更新时间:2026/4/7 3:23:11