网站首页  词典首页


请输入您要查询的字词:

 

字词 曲卡唑酯
类别 中英文字词句释义及详细解析
释义 曲卡唑酯

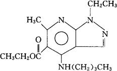
C16H24N4O2=304.39

CAS-41094-88-6

4-(丁氨基)-1-乙基-6-甲基-1H-吡唑并[3,4-b]吡啶-5-羧酸乙酯。

4-(Butylamino)-1-ethyl-6-methyl-1H-pyrazolo[3,4-b]pyridine-5-carboxylic acid,ethyl ester.

4-(丁氨基)-1-乙基-6-甲基-1H-吡唑并[3,4-b]-吡啶-5-羧酸乙酯。

Ethyl 4-(butylamino)-1-ethyl-6-methyl-1H-pyrazolo[3,4-b]-pyridine-5-carboxylate.

安定药,抗抑郁药。

Tracazolate,ICI 136,753.

INN,BAN,USAN.

随便看

 

离鸟网收录3541549条中英文词条,其功能与新华字典、现代汉语词典、牛津高阶英汉词典等各类中英文词典类似,基本涵盖了全部常用中英文字词句的读音、释义及用法,是语言学习和写作的有利工具。

 

Copyright © 2004-2024 vtrois.com All Rights Reserved
更新时间:2026/5/25 11:10:30