网站首页  词典首页


请输入您要查询的字词:

 

字词 曲呫诺
类别 中英文字词句释义及详细解析
释义 曲呫诺

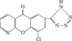
C13H6ClN5O2=299.68

CAS-58712-69-9

9-氯-7-(1H-四唑-5-基)-5H-[1]苯并吡喃并[2,3-b]吡啶-5-酮。

9-Chloro-7-(1H-tetrazol-5-yl)-5H-[1]benzopyrano[2,3-b]pyridine-5-one.

抗变态反应药,抗过敏药。

四唑吡色酮。

Traxanox.

INN,USAN,MI.

随便看

 

离鸟网收录3541549条中英文词条,其功能与新华字典、现代汉语词典、牛津高阶英汉词典等各类中英文词典类似,基本涵盖了全部常用中英文字词句的读音、释义及用法,是语言学习和写作的有利工具。

 

Copyright © 2004-2024 vtrois.com All Rights Reserved
更新时间:2026/4/5 14:22:45