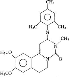
曲喹新
C24H27N3O3=405.50 CAS-79855-88-2 2,3,6,7-四氢-2-(三甲苯基亚氨基)-9,10-二甲氧-3-甲基-4H-嘧啶并[6,1-a]异喹啉-4-酮。 2,3,6,7-Tetrahydro-2-(mesitylimino)-9,10-dimethoxy-3-methyl-4H-pyrimido[6,1-a]isoquinolin-4-one. 2,3,6,7-四氢-9,10-二甲氧-3-甲基-2-[(2,4,6-三甲苯基)亚氨基]-4H-嘧啶基[6,1-a]异喹啉-4-酮。 2,3,6,7-Tetrahydro-9,10-dimethoxy-3-methyl-2-[(2,4,6-trimethylphenyl)imino]-4H-pyrimido[6,1-a]isoquinolin-4-one. 抗高血压药。 曲喹嗪。 Treguinsin. INN,USAN.  |