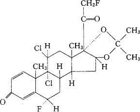
曲奈德
C24H28Cl2F2O4=489.39 CAS-21365-49-1 9,11-二氯-6,21-二氟-16,17-[(1-甲基亚乙基)双(氧)](6α,11β,16α)孕甾-1,2-二烯-3,20-二酮。 9,11-Dichloro-6,21-difluoro-16,17-[(1-methylethylidene)bis(oxy)](6α,11β,16α)pregna-1,4-diene-3,20-dione. 9,11β-二氯-6α,21-二氟-16α,17-二羟孕甾-1,4-二烯-3,20-二酮与丙酮形成环乙缩醛。 9,11β-Dichloro-6α,21-difluoro-16α,17-dihydroxypregna-1,4-diene-3,20-dione cyclic acetal with acetone. 肾上腺皮质激素类药,消炎药。 Tralonide,Talidon. INN,USAN. 
|