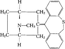
曲帕替平
C22H23NS=333.49 CAS-27574-24-9 3-二苯并[b,e]噻庚英-11(6H)-基亚基-1αH,5αH-莨菪烷。 3-Dibenzo[b,e]thiepin-11(6H)-ylidene-1αH,5αHtropane. 3-二苯并[b,e]噻庚英-11(6H)-基亚基-8-甲基-8-氮杂双环[3.2.1]辛烷。 3-Dibenzo[b,e]thiepin-11(6H)-ylidene-8-methyl-8-azabicyclo[3.2.1]octane. 解痉药,抗组胺药,抗震颤麻痹药。 Tropatepine,SD 1248-17. INN,DCF,USAN.  |