曲托喹啉
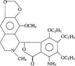
C26H32N2O8=500.55 CAS-14504-73-5 7-氨基-4,5,6-三甲氧-3-(5,6,7,8-四氢-4-甲氧-6-甲基-1,3-二氧杂环戊烯并[4,5-g]异喹啉-5-基-1(3H)异苯并呋喃酮。 7-Amino-4,5,6-triethoxy-3-(5,6,7,8-tetrahydro-4-methoxy-6-methyl-1,3-dioxolo[]4,5-g]isoquinolin-5-yl-1(3H)isobenzofuranone. 7-氨基-4,5,6-三乙氧-3-(5,6,7,8-四氢-4-甲氧-6-甲基-1,3-二氧杂环戊烯并[4,5-g]异喹啉-5-基)苯并呋喃酮。 7-Amino-4,5,6-triethoxy-3-(5,6,7,8-tetrahydro-4-methoxy-6-methyl-1,3-dioxolo[4,5-g]isoquinolin-5-yl)phthalide. 抗组胺药。 Tritoqualine,L-554. INN,DCF,USAN,MI.  |