曲马唑嗪
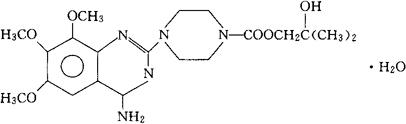
C20H29N5O6·H2O=453.50 CAS-35795-16-5 4-(4-氨基-6,7,8-三甲氧-2-喹唑啉基)-1-哌嗪羧酸,2-羟-2-甲基丙酯-水化合物。 4-(4-Amino-6,7,8-trimethoxy-2-quinazolinyl)-1-piperazinecarboxylic acid,2-hydroxy-2-methylpropyl ester,monohydrate. 4-(4-氨基-6,7,8-三甲氧基-2-喹唑啉基)-1-哌嗪羧酸2-羟-2-甲基丙酯一水化合物。 2-Hydroxy-2-methylpropyl 4-(4-amino-6,7,8-trimethoxy-2-quinazolinyl)-1-piperazinecarboxylate monohydrate. 抗高血压药,心脏兴奋药。 Trimazosin. INN & BAN(Trimazosin),USAN. 
|