网站首页  词典首页


请输入您要查询的字词:

 

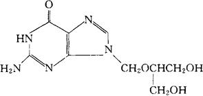
字词 更昔洛韦
类别 中英文字词句释义及详细解析
释义 更昔洛韦

C9H13N5O4=255.23

CAS-82410-32-0

2-氨基-1,9-二氢-9-[[2-羟-1-(羟甲基)乙氧]甲基]-6H-嘌呤-6-酮。

2-Amino-1,9-dihydro-9-[[2-hydroxy-1-(hydroxymethyl)ethoxy]methyl]-6H-purin-6-one.

9-[[2-羟基-1-(羟甲基)乙氧]甲基]鸟嘌呤。

9-[[2-Hydroxy-1-(hydroxymethyl)ethoxy]methyl]guanine.

抗病毒药。

Ganciclovir,BW 759U,RS-21592.

INN,BAN,USAN.

随便看

 

离鸟网收录3541549条中英文词条,其功能与新华字典、现代汉语词典、牛津高阶英汉词典等各类中英文词典类似,基本涵盖了全部常用中英文字词句的读音、释义及用法,是语言学习和写作的有利工具。

 

Copyright © 2004-2024 vtrois.com All Rights Reserved
更新时间:2026/5/25 18:12:08