网站首页  词典首页


请输入您要查询的字词:

 

字词 替仑西平
类别 中英文字词句释义及详细解析
释义 替仑西平

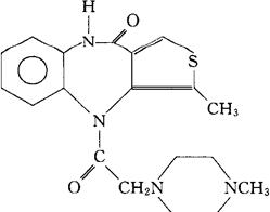
C19H22N4O2S=370.47

CAS-80880-90-6

4,9-二氢-3-甲基-4-[(4-甲基-1-哌嗪基)乙酰]-10H噻吩并[3,4-b][1,5]-苯并二氮杂-10-酮。

4,9-Dihydro-3-methyl-4-[(4-methyl-1-piperazinyl)acetyl]-10H-thieno[3,4-b][1,5]-benzodiazepin-10-one.

抗溃疡病药。

Telezepine.

INN,USAN.

随便看

 

离鸟网收录3541549条中英文词条,其功能与新华字典、现代汉语词典、牛津高阶英汉词典等各类中英文词典类似,基本涵盖了全部常用中英文字词句的读音、释义及用法,是语言学习和写作的有利工具。

 

Copyright © 2004-2024 vtrois.com All Rights Reserved
更新时间:2026/4/9 3:56:03