网站首页  词典首页


请输入您要查询的字词:

 

字词 替代曲线
类别 中英文字词句释义及详细解析
释义 替代曲线

亦称更新替代分析曲线。

主要应用于研究替代问题的。如对于企业的经营决策者,一个很重要的问题是,必须明了一种新技术、新产品替代老技术、老产品时,替代的临界点如何预测,选择什么时机替代效果最佳,以及选用何种替代方法最好。

替代曲线就是从经济角度,对这些问题进行预测的。

替代曲线也是一条S曲线。应用比较广泛的替代曲线的数学模型,是费歇(Fisher)和布赖(Pry)在1971年提出的。这一模型主要是从市场或应用的角度,来预测替代速率,通过利用新老技术替代开始以后的起始速率来预测替代的全过程。这里有两个假设:(1)如果一项新技术已开始替代某种老技术,并且已替代了百分之几,且证明经济上是合理的,则替代过程将进行列底;(2)替代速度正比于被替代技术的尚未替代部分。

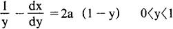
根据上述假设,其数学模型为:

解微分方程得:

式中:y为旧技术被替代的百分比,因变量a为每年替代的百分数的一半,即替代开始以后的替代起始速率;tn为当y=50%时的时间,即替代开始到旧技术被替代了50%的时间;t为时间参数,自变量。

除此模型外,还有其它形式的替代模型,如:

式中:y为旧技术被替代的百分数,因变量;Y为y最大能达到的值,即y的极限值;t为时间参数,自变量;C1,C2为常数。

使使用替代曲线法进行替代预测时,需注意符合前面提出的两个作定,同时也应注意替代过程的实际情况,对模型进行必要的修正后再进行预测,一般能够取得较好效果。

随便看

 

离鸟网收录3541549条中英文词条,其功能与新华字典、现代汉语词典、牛津高阶英汉词典等各类中英文词典类似,基本涵盖了全部常用中英文字词句的读音、释义及用法,是语言学习和写作的有利工具。

 

Copyright © 2004-2024 vtrois.com All Rights Reserved
更新时间:2026/4/7 7:19:31