网站首页  词典首页


请输入您要查询的字词:

 

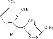
字词 替伐硝唑
类别 中英文字词句释义及详细解析
释义 替伐硝唑

C11H13N5O2S=279.32

CAS-80680-05-3

(E)-2-乙基-5-[1-甲基-2-(1-甲基-5-硝基咪唑-2-基)烯乙基]-1,3,4-噻二唑。

(E)-2-Ethyl-5-[1-methyl-2-(1-methyl-5-nitroimidazol-2-yl)vinyl]-1,3,4-thiadiazole.

抗感染药,抗原虫药,杀毛滴虫药。

Tivanidazole.

INN,USAN.

随便看

 

离鸟网收录3541549条中英文词条,其功能与新华字典、现代汉语词典、牛津高阶英汉词典等各类中英文词典类似,基本涵盖了全部常用中英文字词句的读音、释义及用法,是语言学习和写作的有利工具。

 

Copyright © 2004-2024 vtrois.com All Rights Reserved
更新时间:2026/4/7 0:28:38