网站首页  词典首页


请输入您要查询的字词:

 

字词 替卡西林钠
类别 中英文字词句释义及详细解析
释义 替卡西林钠

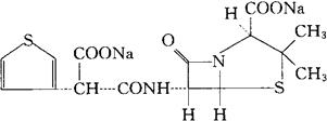
C15H14N2Na2O6S2=428.38

CAS-4697-14-7

6-[(羧-3-噻吩基乙酰)胺基]青霉烷酸二钠。

6-](Carboxy-3--thienylacetyl)amino]penicillanic acid disodium salt.

6-[(羧-3-噻吩基乙酰)氨基]-3,3-二甲基-7-氧代-4-硫杂-1-氮杂双环[3.2.0]庚烷-2-羧酸二钠盐。

6-[(Carboxy-3-thienylacetyl)amino]-3,3-dimethyl7-oxo-4-thia-1-azabicyclo[3.2.0]heptane-2-carboxylic acid,disodium salt.

抗生素类药。

Ticarpen,Ticar,Ticarcillin Disodium,Aerugipen, BRL 2288,Monapen.

INN,USP,MI.

随便看

 

离鸟网收录3541549条中英文词条,其功能与新华字典、现代汉语词典、牛津高阶英汉词典等各类中英文词典类似,基本涵盖了全部常用中英文字词句的读音、释义及用法,是语言学习和写作的有利工具。

 

Copyright © 2004-2024 vtrois.com All Rights Reserved
更新时间:2026/4/7 16:53:35