替尼泊甙
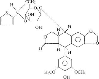
C32H32O13S=656.66 CAS-29767-20-2 [5R-[5α,5aβ,8aα,9β(R*)]]-5,8,8α,9-四氢-5-(4-羟基-3,5-二甲氧苯基)-9-[[4,6-O-(2-噻吩亚甲基)-β-D-吡喃葡糖基]氧]呋喃并[3′,4′∶6,7]萘并[2,3- d]1,3-二氧杂环戊烯-6(5αH)-酮。 Furo[3′,4′∶6,7]naphtho[2,3-d]1,3-dioxol-6(5aH)-one,5,8,8a,9-tetrahydro-5-(4-hydroxy-3,5-dimethoxyphenyl)-9-[[4,6-O-(2-thienylmethylene)-β-D-glucopyranosyl]-oxy]-,[5R-[5α,5aβ,8aα,9β(R*)]]-. 4′-去甲基表鬼臼毒素9-[4,6-O-(R)-2-噻嗯亚甲基-β-D-吡喃葡糖甙。 4′-Demethylepipodophyllotoxin 9-[4,6-O-(R)-2-thenylidene-β-D-glucopyranoside. 抗肿瘤药。 Teniposide,VM-26,Vumon,EPT,NSC 122819,Vehem-Sanoloz. INN,BAN,USAN.  |