替普瑞酮
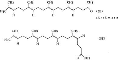
C23H38O=330.55 CAS-6809-52-5 6,10,14,18-四甲基-5,9,13,17-十九烷四烯-2-酮,(5E,9E,13E)和(5Z,9E,13E)异构体的混合物。 6,10,14,18-Tetramethyl-5,9,13,17-nonadecatetraen-2-one,mixture of(5E,9E,13E)and(5Z,9E,13E)isomers. 抗溃疡病药。 Peprenone,Geranylgeranylacetone,Cerbex,Selbex,Tetprenone,E 671,GGA. INN,JAN,USAN,MI.  |