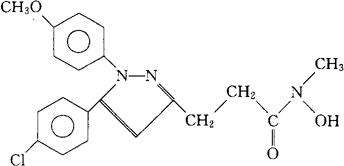
替泊沙林
C20H20ClN3O3=385.85 CAS-103475-41-8 5-(4-氯苯基)-N-羟-1-(4-甲氧苯基)-N-甲基-1H-吡唑-3-丙酰胺。 1H-Pyrazole-3-propanamide,5-(4-chlorophenyl)-Nhydroxy-l-(4-methoxyphenyl)-N-methyl-. 5-(对-氯苯基)-1-(对-甲氧苯基)-N-甲基吡唑-3-丙酰异羟肟酸。 5-(p-Chlorophenyl)-1-(p-methoxyphenyl)-N-methylpyrazole-3-propionohydroxamic acid. 消炎药。用于治疗牛皮癣、干癣。 太波沙林。 Tepoxalin,ORF 20485,RWJ 20485. INN,USAN.  |