网站首页  词典首页


请输入您要查询的字词:

 

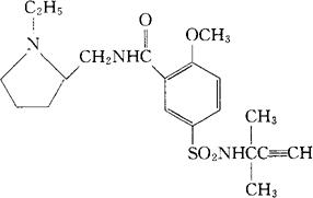
字词 替磺必利
类别 中英文字词句释义及详细解析
释义 替磺必利

C20H29N3O4S=407.53

CAS-69387-87-7

5-[(1,1-二甲基-2-丙炔基)氨磺酰]-N-[(1-乙基-2-吡咯烷基)甲基]-邻-茴香酰胺。

5-[(1,1-Dimethyl-2-propinyl)sulfamoyl]-N-[(1-ethyl-2-pyrrolidinyl)methyl]-o-anisamide.

镇吐药,精神状态治疗药。

Tinisulpride,F1603.

INN,USAN.

随便看

 

离鸟网收录3541549条中英文词条,其功能与新华字典、现代汉语词典、牛津高阶英汉词典等各类中英文词典类似,基本涵盖了全部常用中英文字词句的读音、释义及用法,是语言学习和写作的有利工具。

 

Copyright © 2004-2024 vtrois.com All Rights Reserved
更新时间:2026/4/7 8:20:37