网站首页  词典首页


请输入您要查询的字词:

 

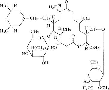
字词 替米考星
类别 中英文字词句释义及详细解析
释义 替米考星

C46H80N2O13=869.15

CAS-108050-54-0

泰乐菌素,4A-O-脱(2,6-二脱氧-3-C-甲基-α-L-核-吡喃己糖基)-20-去氧代-20-(3,5-二甲基-1-哌啶基)-,20(顺)-。

Tylosin,4A-O-de(2,6-dideoxy-3-C-methyl-α-L-ribohexopyranosyl)-20-deoxo-20-(3,5-dimethyl-1-piperidinyl)-,20(cis)-.

4A-O-脱(2,6-二脱氧-3-C-甲基-α-L-核-吡喃己糖基)-20-脱氧-20-(顺-3,5-二甲哌啶基)泰乐菌素。

4A-O-De(2,6-dideoxy-3-C-methyl-α-L-ribo-hehexopyranosyl)-20-deoxo-20-(cis-3,5-dimethylpiperidino)tylosin.

抗菌药。

Tilmocosin,LYl77370,EL870.

INN,BAN,USAN.

随便看

 

离鸟网收录3541549条中英文词条,其功能与新华字典、现代汉语词典、牛津高阶英汉词典等各类中英文词典类似,基本涵盖了全部常用中英文字词句的读音、释义及用法,是语言学习和写作的有利工具。

 

Copyright © 2004-2024 vtrois.com All Rights Reserved
更新时间:2026/4/7 14:35:53