替芬西林钾
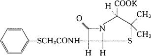
C16H17KN2O4S2=404.54 CAS-4803-45-6 [2S-(2α,5α,6β)]-3,3-二甲基-7-氧代-6-[-[(苯硫基)乙酰]氨基]-4-硫代-1-氮杂双环[3.2.0]庚烷-2-羧酸单钾盐。 [2S-(2α,5α,6β)]-3,3-Dimethyl-7-oxo-6-[[(phenylthio)acetyl]amino]-4-thia-1-azabicyclo[3.2.0]heptane-2-carboxylic acid monopotassium. 3,3-二甲基-7-氧代-6-[2-(苯硫基)乙酰氨基]-4-硫代-1-氮杂双环[3.2.1]庚烷-2-羧酸钾。 Potassium 3,3-dimethyl-7-oxo-6-[2-(phenylthio)acetamido]-4-thia-1-azabicyclo[3.2.1]heptane-2-carboxyate. 6-[2-(苯硫基)乙酰氨基]青霉烷酸钾。 6-[2-(Phenylthio)acetamido]penicillanate potassium. 3,3-二甲基-7-氧代-6-[2-(苯硫基)乙酰氨基]-4-硫杂-1-氮杂双环[3.2.0]庚烷-2-羧酸钾。 3,3-Dimethyl-7-oxo-6-[2-(phenylthio)acetamid6]-4-thia-1-azalicyclo[3.2.0]heptane-2-carboxylatepotassium. 抗生素类药。 Tifencillin Potassium,Thiphencillin Potassium,Lilly 26383. USAN.  |