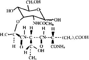
替莫肽
C20H34N4O12=522.51 CAS-66112-59-2 N2-[N-(N-乙酰胞壁酰)-L-苏氨酰]-D-α-谷氨酰胺。 D-α-Glutamine,N2-[N-(N-acethylmuramoyl)-Lthreonyl]-. 2-乙酰氨基-3-O-[[(1R)-1-[(1S,2R)-1-[[(1R)-1-氨甲酰基-3-羧丙基]氨甲酰基]-2-羟丙基]氨甲酰基]乙基]-2-去氧-D-吡喃葡糖。 2-Acetamido-3-O-[[(1R)-1-[(1S,2R)-1-[[(1R)-1-carbamoyl-3-carboxypropyl]carbamoyl]-2-hydroxypropyl]carbamoyl]ethyl]-2-deoxy-D-glucopyranose. 免疫调节药。 肽妙替得。 Temurtide,RS37449. INN,BAN,USAN.  |