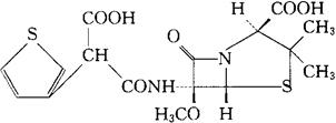
替莫西林
C16H18N2O7S2=414.45 CAS-66148-78-5 CAS-61545-06-0 6-[(羧基-3-噻吩基乙酰)氨基]-6-甲氧基-3,3-二甲基-7-氧代-[2S-(2α,5α,6α)]-4-硫杂-1-氮杂双环[3.2.0]庚烷-2-羧酸。 4-Thia-1-azabicyclo[3.2.0]heptane-2-carboxylicacid,6-[(carboxy-3-thienylacetyl)amino]-6-methoxy-3,3-dimethyl-7-oxo-,[2S-(2α,5α,6α)]-. N-[(2S,5R,6S)-2-羧基-6-甲氧-3,3-二甲基-7-氧代-4-硫杂-1-氮杂二环[3.2.0]庚烷-6-基]-3-噻吩丙二酰胺酸。 N-[(2S,5R,6S)-2-Carboxy-6-methoxy-3,3-dimethyl-7-oxo-4-thia-1-azabicyclo[3.2.0]hept-6- yl]-3-thiophenemalonamic acid. 抗生素类药。 Temocillin,BRL 17421,Methoxyticarcillin. INN,BAN,USAN.  |