网站首页  词典首页


请输入您要查询的字词:

 

字词 最佳技术转移时间
类别 中英文字词句释义及详细解析
释义 最佳技术转移时间

技术转移国依据技术发展的成熟程度而出让技术的最佳时刻。

它以追赶模型中技术转移国的技术发展函数:

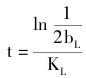
为基础(其中UL为转移国的某项特定技术发展的上限,KL为转移国自身的技术开发能力,bL为初始状态的参数值,t为时间),解析出:

即最佳技术转移时间公式。该公式表明:(1)技术的最佳转移时间与转移国技术发展的初始状态和自身技术开发能力成正比;(2)技术的最佳转移时间受转移国技术转移的机会成本和使用该技术所生产出的产品的扩散程度等因素制约。

随便看

 

离鸟网收录3541549条中英文词条,其功能与新华字典、现代汉语词典、牛津高阶英汉词典等各类中英文词典类似,基本涵盖了全部常用中英文字词句的读音、释义及用法,是语言学习和写作的有利工具。

 

Copyright © 2004-2024 vtrois.com All Rights Reserved
更新时间:2026/5/28 15:07:47