网站首页  词典首页


请输入您要查询的字词:

 

字词 最大值和有效值
类别 中英文字词句释义及详细解析
释义 最大值和有效值

1.正弦交变电流最大值

矩形线圈在匀强磁场中绕垂直于磁场的轴转到与磁感线平行时,感应电动势有最大值,Em=NBSω

此时电阻电路中的电流及用电器两端电压也有最大值.

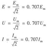
直流电源的电动势E为交变电动势e的有效值,用E表示.

通过R的恒定电流I为交流电路中通过电阻R的交变电流i的有效值,用I表示.

加在R两端的直流电压U,为交流电路中加在R两端的交流电压u的有效值,用U表示

3.有效值与最大值的关系

最大值反映了交变电流在变化过程中所能达到的最大值以及交变电流的变化范围这一特征.

交变电流的图象和瞬时值的表达式详细准确地反映了交变电流的变化,且运用瞬时值计算交变电流产生的效果很不方便,在实际应用中为了准确而方便地进行计算和处理,因此引入反映了交变电流在效果特征意义的物理量“有效值”.

在正弦交变电流中,最大值与有效值之间的关系如下:

说明 ❶ 在定义有效值时要注意:

❷ 是否所有交变电流的有效值都是最大值的?

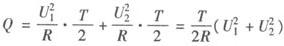
要回答这个问题首先看一个例子,如图所示,将图交变电流接在电阻R上,在一个周期产生的热量为

如果接在电压U′的直流电上,在T时间内产生的热量为

由有效值的规定可知,如果Q′=Q,那么U′就是该交变电流的有效值,由

可得,图示交变电流的有效值为,由本例可知,U=是正弦交变电流有效值与最大值间的关系,对于一般非正弦交变电流,是不适用的,处理手段只能借助有效值的原始定义,即有效值的规定.

随便看

 

离鸟网收录3541549条中英文词条,其功能与新华字典、现代汉语词典、牛津高阶英汉词典等各类中英文词典类似,基本涵盖了全部常用中英文字词句的读音、释义及用法,是语言学习和写作的有利工具。

 

Copyright © 2004-2024 vtrois.com All Rights Reserved
更新时间:2026/4/7 5:04:20