网站首页  词典首页


请输入您要查询的字词:

 

字词 最大弯曲应力的计算
类别 中英文字词句释义及详细解析
释义 最大弯曲应力的计算

式中 σw——管辊的最大弯曲应力(MPa);钢管的许用弯曲应力[σw]=80MPa;

铜管的[σw]=20MPa;参考表2-3-22

表2-3-22 各种辊筒轴颈危险断面的许用弯曲应力

Mmax——辊面中部横截面上的最大弯矩(N·m),对于受简单匀布载荷的辊筒(如案辊)可用下式计算:

q——辊筒上的匀布载荷(N/m)

G——管辊自重(N)

b——辊面宽(m)

98——管辊的匀布载荷安全裕量(N/m),案辊取98N/m

l——轴承中心距(m)

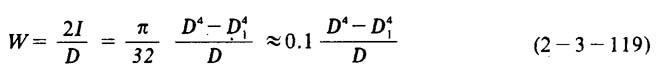
W——截面模数(m3)

I——管辊在辊面中部横截面上的惯性矩(m4)

D——管辊外径(m)

D1——管辊内径(m)

随便看

 

离鸟网收录3541549条中英文词条,其功能与新华字典、现代汉语词典、牛津高阶英汉词典等各类中英文词典类似,基本涵盖了全部常用中英文字词句的读音、释义及用法,是语言学习和写作的有利工具。

 

Copyright © 2004-2024 vtrois.com All Rights Reserved
更新时间:2026/4/5 17:32:10