最大耗热量的计算
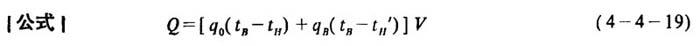
[说明]热风采暖,一般对一些围护结构符合建筑标准的建筑,都采用热指标来概算采暖所需的热量。所谓热指标,是指室内外温度相差1℃时,车间每m3体积,每小时所需的耗热量。因此,热风采暖(兼通风)的最大耗热量可按下式计算。  式中 Q——最大耗热量(kJ/h) q0——采暖热指标[kJ/(m3·h·℃)],由车间容积、门窗比例与墙的厚度决定,一般为1.256~3.349 qB——换气热指标[kJ/(m3·h·℃)]  1.256——空气的比热容[kJ/(m3·h·℃)] n——换气次数,其值通常为3、5、7、10,视车间危害气体的发生量而定 tB——车间内设计温度(℃),一般重作业取10℃;轻作业取16℃ tH——采暖期计算温度(℃)  t1——采暖期最冷一天的最低室外温度(℃) t2——采暖期最冷一天的平均室外温度(℃) tH′——通风计算温度(℃) V——车间体积(m3) |