网站首页  词典首页


请输入您要查询的字词:

 

字词 最小二乘法
类别 中英文字词句释义及详细解析
释义 最小二乘法

亦称“最小平方法”。使对因变量的估计值与实际观测值之差的平方达到最小。目前常见的回归分析方法之一,是进行回归分析的基础。又被称作“ordinary least quare”(可译为“普通最小二乘法”或“普通最小平方法”)。这一方法最早由勒让德提出,后经G.F.Guass和P.S.Laplace引入统计学研究之中。下面用一个线性回归模型来具体说明这一方法。

对于回归模型:

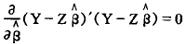
式中,Y是被解释变量向量;Z是解释变量向量;u是白噪声向量;其均值为零,方差为σ2;β是待估参数。最小二乘法要求待估的回归方程使得的平方和达到最小,即:

因为Y和Z是已知的,的大小完全取决于的大小,而是由估计方法确定的参数。因此,根据微积分中求极值的原理,当的一阶导数等于零时,才能达到最小值,因而有:

整理后有常规方程:

如果(Z’Z)-1存在,以上常规方程有解:

就是回归模型Y=Zβ+ε的普通最小二乘估计值,它使达到最小。

由于现实生活中往往出现违背线性回归模型的基本假设,如异方差性、多重共线性、残差自相关等等,以致矩阵(ZZ)近于退化,很难用普通最小二乘法进行模型参数估计。为此出现了基于它的一些更为一般和适用的方法,如广义最小二乘法、加权最小二乘法、间接最小二乘法、工具变量法、约束最小二乘法等等。

随便看

 

离鸟网收录3541549条中英文词条,其功能与新华字典、现代汉语词典、牛津高阶英汉词典等各类中英文词典类似,基本涵盖了全部常用中英文字词句的读音、释义及用法,是语言学习和写作的有利工具。

 

Copyright © 2004-2024 vtrois.com All Rights Reserved
更新时间:2026/4/5 18:25:32