网站首页  词典首页


请输入您要查询的字词:

 

字词 最小平方法
类别 中英文字词句释义及详细解析
释义 最小平方法

确定空间平面上n个有线性趋势的点(x1,y1),(x2,y2),…,(xn,yn),求一估计直线,使按估计直线计算得的yi的估计值与实际观察值之差的平方和为最小的方法。

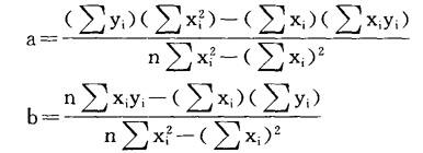
设此直线为#=a+bx,欲使S=d=〔(a+bxi)-yi2最小,必须有=0,=0,解得

所求的最小平方法的估计直线,若以行列式表示,则为

用最小平方法配合的估计直线的特点是:估计值与实际观察值相差的代数和为零;它们差数的平方和为最小。

最小平方法常用于建立样本回归方程及确定现象发展的长期趋势线等。

随便看

 

离鸟网收录3541549条中英文词条,其功能与新华字典、现代汉语词典、牛津高阶英汉词典等各类中英文词典类似,基本涵盖了全部常用中英文字词句的读音、释义及用法,是语言学习和写作的有利工具。

 

Copyright © 2004-2024 vtrois.com All Rights Reserved
更新时间:2026/4/6 23:16:08