网站首页  词典首页


请输入您要查询的字词:

 

字词 最简公分母
类别 中英文字词句释义及详细解析
释义 最简公分母

在异分母分式通分时,通常取最简单的分母作为它们的共同分母,这个最简单的分母即为最简公分母.

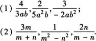
例 把下列各式通分:

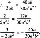
解 (1)∵最简公分母是30a2b2

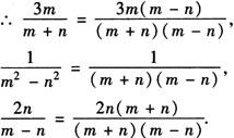
(2)∵最简公分母是(m+n)(m-n),

随便看

 

离鸟网收录3541549条中英文词条,其功能与新华字典、现代汉语词典、牛津高阶英汉词典等各类中英文词典类似,基本涵盖了全部常用中英文字词句的读音、释义及用法,是语言学习和写作的有利工具。

 

Copyright © 2004-2024 vtrois.com All Rights Reserved
更新时间:2026/5/31 18:48:34