网站首页  词典首页


请输入您要查询的字词:

 

字词 最简分式
类别 中英文字词句释义及详细解析
释义 最简分式

分子和分母没有公因式的分式,称为最简分式.

注意 化简分式时,通常要使结果成为最简分式或整式.

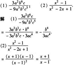
例1 化简下列各式

[解析] 当分子、分母是单项式或几个因式的乘积的形式时可直接约分,当分子、分母中有多项式时,一般先把多项式分解因式,再约分.

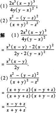
例2 约分:

随便看

 

离鸟网收录3541549条中英文词条,其功能与新华字典、现代汉语词典、牛津高阶英汉词典等各类中英文词典类似,基本涵盖了全部常用中英文字词句的读音、释义及用法,是语言学习和写作的有利工具。

 

Copyright © 2004-2024 vtrois.com All Rights Reserved
更新时间:2026/4/7 14:41:54