网站首页  词典首页


请输入您要查询的字词:

 

字词 最适商品课税论
类别 中英文字词句释义及详细解析
释义 最适商品课税论

【内容介绍】:

最适商品课税论是最适课税论的一个重要领域,主要分析如何在保证税收收入数量既定的前提下,经济合理地或使额外负担最小地对不同商品和服务课税。

对最适商品课税的讨论,始于英国经济学家拉姆斯(Ramsey,1927,p.47-61),但只是在70年代初戴尔蒙德和米尔利斯(Diamond and Mirrlees,1971,p.8-27 and p.384-400)的论文发表之后,这个课题才被迅速扩展开来,得到许多著名经济学家的重视(Auerbach,1985,p.61-127;Dixit,1975,p.103-123;Samuelson,1986,p.137-143;Sandmo,1976,p.37-54)。本文首先阐明最适商品课税的目标,然后探讨最适商品税的税率确定,继而讨论商品课税的最适条件。

1.最适商品课税的目标:超额负担最小化

假定政府为筹措既定的税收收入,只对征收不同的商品和服务征税。在这种情况下,政府如何征收这些税,才能使额外负担最小?美国普林斯顿大学经济学教授罗森(罗森,1992,第415页~第417页)以纳税人的预算约束为基础进行分析,界定了最适商品课税问题。

为简化起见,假定每个人只消费两种商品,即X和Y,此外,还享受闲暇ι。商品X的价格为Px,商品Y的价格为Py,工资率(这是闲暇的“价格”)为W。

一个人除睡觉之外所拥有的时间数量为T′,则工作时数为(T′-ι)。所得为工作时数与工资率的乘积W(T′-ι)。

假定全部所得都用来购买商品X和Y(没有储蓄),则预算约束式成为:

W(T′-ι)=PxX+PyY (1)

(1)式的左边是总所得,右边是支出结构。

(1)式可整理为:

WT′=PxX+PyY+Wι (2)

(2)式的左边表明的是时间拥有量的价值,即一个人除睡觉之外,其他时间都在工作所能取得的所得。

现在假定对商品X、Y以及闲暇ι课以相同税率的从价税t。课税后,商品X、Y以及闲暇ι的实际价格分别提高到(1+t)Px、(1+t)Py、(1+t)W。

于是,个人的税后预算约束式变成:

WT′=(1+t)PxX+(1+t)PyY+(1+t)Wι (3)

等式(3)的两边除以(1+t),得到:

第一步求出增税引起的边际超额负担值。

如果单位税从tx提高到(tx+1),根据(5)式,超额负担将提高到(tx+1)△X/2,边际超额负担就是税率提高前后的超额负担变化值,即:

边际超额负担=(tx+1)△X/2-tx△X/2

=△X/2 (7)

即图1中的feab的面积。

第二步计算出相应的税收收入增加额。

根据等式(6),当单位税从tx提高到(tx+1)时,税收收入大约从txX1提高到(tx+1)X1,则边际税收收入是:

边际税收收入=(tx+1)-txX1=X1 (8)

第三步计算出每增加1美元税收收入的边际超额负担。利用等式(7)除以等式(8),得到:

税收收入增加1美元的边际超额负担=△X/2X1 (9)

同理,如果对商品Y征收单位税ty,则每增加1美元税收收入的边际超额负担为:

税收收入增加1美元的边际超额负担=△Y/2Y1(10)

如前所述,超额负担最小化的条件是,每种商品的最后1美元税收收入的边际超额负担相等,即等式(9)和等式(10)必须相等:

当实现最适课税时,每1美元税收收入的超额负担对两种商品来说是相同的。对于弹性需求的商品来说,这可以写成下式(假定需求曲线是线性的):

式中,te是对这种商品课征的税率,Qe是税后需求,△Qe是因课税而导致的需求变化,是负的。

乘积tep1是因课税而导致的价格变化。若用ηe代表需求(弧)弹性,它可近似定义为:

把等式(15)代入等式(14),每1单位的税收收入的超额负担近似为ηete/2。同样,对于商品i,每单位税收收入的超额负担近似为ηiti/2。由于在最适税制下,这二者必须相等,因此,

也就是说,商品课税的税率应当与需求弹性呈反比例关系。

3.最适商品课税的一般均衡分析

不难看出,上节讨论的拉姆斯法则实际上是一种简单的、标准的局部均衡分析,其中包含有很多局限性。最重要的有以下三个问题:

第一,单一消费者问题。

在拉姆斯最适商品课税论中,把消费者设定为只有一个消费者,或把社会中的消费者看成都是同一。也就是说,假定所有人都是一样的。实际上,社会中的消费者并不是单一的,存在著无数个“异质”消费者。在这种情况下,依据拉姆斯法则建立的商品税制就不一定是最适的。

第二,对低弹性商品课以高税率问题。拉姆斯法则的一个结论是,如果对无弹性或低弹性商品(如食品)采用高税率征税,会使总体超额负担最小化,是一种最适税制。

这一结论在拉姆斯建立的单一消费者模型中当然没有什么问题,但是,在有许多消费者或不完全一样的消费者(即异质消费者)的情况下,低弹性商品按高税率课税,往往使贫穷者的税收负担高于富有者的负担。可是,征收商品税的本来目的是把税收负担更多地落在富有者身上,即富有者所承受的税收负担比在一次总付税情况下承受的更多。可见,拉姆斯法则严重违背公平原则。

第三,税额的事先确定问题。政府征税意味著把社会购买力从私人部门转移到公共部门。征收多少税额,并把它们用在什么用途上,这个问题意味著,通过公共部门和私人部门中的哪一个部门来行使购买力对于整个社会的经济福利是最好的。

事先确定的税额与保证理性购买有关行为的最适性常常并非一致。这个问题在于说明,最适课税要与最适支出结构联系起来。

3.1 政策参数

为了解决拉姆斯法则中的某些问题,假定有许多消费者。

此外,为了简化起见,从两个层次上进行分析:第一,假定竞争性均衡的实现有赖于使政府行为具体化的政策参数;第二,伴有政策参数的竞争性均衡“集合”中,选择使社会福利最大化的政策参数(本间正明,1984,第267页~第306页)。

在经济社会中,假定:第一,有H个家庭(h=1,2,…,H)、K个企业(=1,2,…,K),而且,政府也作为一个经济主体存在;第二,有J+1种私用品(j=0,1,…,J),G种共用品(g=1,2,…,G);第三,在私用品中,第0种是劳动这种特定的私用品;第四,所有家庭都可以利用共用品。

各符号的基本经济含义是:——第h家庭的劳动供给—其他私用消费品向量

Z=(Z1,…,Zg,…,ZG)——政府购入及提供的共用品向量——各家庭的效用函数——第k企业的劳动需求

yk——第k企业的其他私用品的投入-产出向量——政府提供的公共用品产出向量——各企业的技术性限制

p=(p1,…,pj,…,pJ)——私用品的价格向量

P=(P1,…,Pg,…,PG)——共用品的价格向量

L——实现收入再分配所利用的税收

Lh——对第h家庭征收的定额税或定额补助

如果把各家庭消费的除劳动之外的私用品作为课税对象的个别商品税向量写作t=(t1,…,tj,…,tJ)——私用品的价格向量,则家庭面对的私用品的消费者价格就是:

q=(p1+t1,…,pj+tj,…,pJ+tJ)。

在上述前提下,“伴有政策参数的竞争性均衡”同时满足以下诸条件的状态定义是:

(a)政府

在一定程度上满足预算约束式

的政策参数组合假定是(t,L,Z)。

(b)企业(k=1,…,K)

以技术性限制为前提,选择使企业利润 (18)

最大化的投入-产出向量(,yk,Zk)。

(c)家庭(h=1,…,H)

以预算约束式

为前提,选择使效用函数 (20)

最大化的劳动供给及私用品消费向量(,xh)。

但是,Z并未成为由政府提供的家庭直接选择的对象。

此外,βhk是第h家庭对第k企业的利润分配比例。

(d)市场均衡

3.2 间接效用函数

下面,讨论第二层次的有关政府最适化行为。

操作政策参数的可能范围属于满足第一层次的竞争性均衡“集合”。依据竞争性均衡存在定理以及类似的假定,可以证明,满足(a)~(b)的私用品和共用品价格体系存在。

对于给定的政策参数组合(t,L,Z)成立的这两种竞争性均衡,用[p*,P*;t,L,Z]来表示。由于如果政策参数组合变化,竞争性均衡价格体系也会变化,因此,把实现可能的政策参数组合与竞争性均衡的一对组合用E表示。

这样,对于政府来说,操作可能的政策参数范围,可以限定为

E′={(t,L,Z)]

(p*,P*;t,L,Z)∈E}

在此约束基础上,政府必须确定使社会福利最大化的政策参数的值。如前所述,在有许多消费者的情况下,不同消费者对最适课税的看法是不同的,存在著利益对立的可能性。

在全面考虑各家庭利益的同时,不可避免地引入从整个社会的角度对此进行评价的价值判断。对此,最适课税论采取传统福利经济学的立场。也就是说,依据社会福利函数评价各家庭的效用水平,排列出整个社会福利状况的次序。最一般的社会福利函数是伯格森-萨缪尔森(Bergson-Samuelson)社会福利函数,即:

W=W(u1,…,uh,…,uH) (21)

满足这一假定。

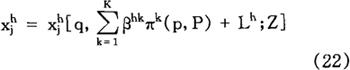
包含在社会福利函数中的各家庭的效用水平,必须满足第一层次的条件(c)。依据家庭主体性均衡条件,各家庭的劳动供给及私用品需求显然采取下列形式:

h=1,…,H;j=0,…,J

为了方便起见,若用

来表示(22)式,则各消费者可能达到的效用水平用下式来表示:

Vh=Vh(p,P;t,Lh,Z) (23)

这就是所谓的“间接效用函数”。

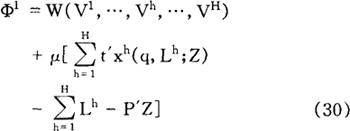
把此式代入上述的社会福利函数中,变成:

W=W(V1,…,Vh,…,VH) (24)

它取决于价格体系及其相应的政策参数的组合。由此,第二层次的政府最适化行为就等于解下列问题:

满足

(p*,P*;t,L,Z)∈E} (26)

3.3 最适商品课税条件

西方经济学家的研究表明,在以约束式(26)为前提,使(25)式最大化的最适课税问题可以若干方法进行分析。

这里,以最接近拉姆斯模型化的方法进行讨论。

首先,在“规模收益不变”的前提下,由(25)式和(26)式所构成的最适课税问题可变成拉姆斯课税问题。依据“替代定理”,在“规模收益不变”的情况下,对于既定的价格体系,使企业利润最大化的投入-产出的技术构成从根本上确定下来。在通常情况下,决定竞争性价格的市场均衡条件,以由生产单方面决定的技术构成的投入-产出比率作为比例,决定的是均衡数量。

所有这些表明,在“规模收益不变”情况下,作为利润最大化结果而产生的利润额变成0。因此,通过利润分配连结企业和消费者(家庭)的联系被切断,对家庭的分析可以不受企业的影响。

这样,在“规模收益不变”的前提下,可以直接考虑企业的主体性均衡条件(b),而且,即使把依据市场均衡条件(d)的价格决定问题舍去,也能以一般均衡框架分析拉姆斯最适商品课税问题。也就是说,被一般化了的最适课税问题中的约束条件式(26)仅由竞争性均衡条件中政府预算约束式(a)和家庭主体性均衡条件式(c)二者构成,在此基础上选择使社会福利函数(25)式最大化的政策参数值。

更为直接地说,由于家庭的主体性均衡条件式(c)可以在需求函数中予以反映,故把(22)式代入政府预算约束式(a),约束式成为:

社会福利函数

W=W[V1(·),…,Vh(q,Lh;Z),…,VH(·)] (28)

变成关于(t;L1,…,Lh,…,LH;Z)的最大化问题。但是,为所得再分配所利用的税收L,在全部家庭中可分为定额税或补助金Lh,故必须满足下面的限制式:

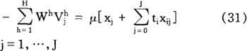
若利用拉格朗日式求最大值,下式成立:

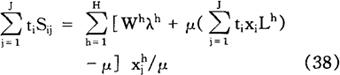
式中,μ是拉格朗日乘子,qj=pj+tj(pj一定)。下面,通过变更可能的政策变量来讨论商品课税体系。利用(30)式,求得各商品课税税率的最大值,得到:

式中,

为了解释(31)式的经济意义,首先必须了解间接效用函数的性质。

如前所述,在规模收益不变的情况下,由于企业利润为零,故家庭的预算式(19)可简写成: (19′)

根据家庭的主体性均衡条件(c),,(j=1,…,J) (32)

以及(19′)式,可以求出其他必要条件。

λh是预算约束式的拉格朗日乘子,

各家庭的劳动供给以及消费品需求,由于采取的形式,把它代入效用函数式(20)后,“间接效用函数”式(23)变为:,xh(q,Lh;Z);Z] (33)

求(33)式对tj微分,得到:

如果把家庭的劳动供给以及消费品需求代入预算约束式,有:

式中,

q=p+t。

若求(35)式对ti微分,可求得:

根据(34)式和(35)式,可以直接推导出下式: (37)

(37)式通称为“罗伊等式”(Roy equation),表明了间接效用函数的基本性质。

把罗伊等式和斯卢茨基(Slutsky)方程式

边和右边中括号内的第二项,整理可得:

这是商品课税最适条件(31)式的另一种形式。

式中,是替代项,

是所得项,

(38)式的左边,是即戴尔蒙德和米尔利斯(Diamond and Mirrlees,1971)阐示的、对应于伴随商品课税税率变化而产生的第j商品的补偿性变化部分(在保持家庭效用水平一定的同时,伴随消费品价格变化而发生的需求变化部分)。因此,(38)式也可以作如下表示:

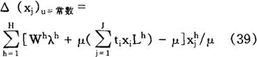
为了较为容易地理解(39)式,可引入以下两个概念。一个是戴尔蒙德所谓的“第h家庭所得的社会边际效用”。其定义是:

(40)式中的第一项是用各家庭的边际社会重要度来评价各家庭的所得边际效用。为了理解第二项的意义,必须首先看一下(30)式的拉格朗日乘子的意义。若求(28)式的社会福利函数对商品税体系全微分,可得:

利用(31)式,上式可变形为:

可是,通过商品课税征收的税收收入是:

R=∑tixi

因此,

根据(41)式和(42)式可知:

-(dW/dR)=μ

左边是指因商品课税,购买力从私人部门向公共部门转移而导致的社会损失。

相反,右边的拉格朗日乘子却意味著由于公共部门的税收增加而产生的社会边际效用。据此,(40)式中的γh意味著,在存在商品课税的情况下,第h家庭的所得边际变化所带来的净社会福利的变化。

另一个概念是由费尔德斯坦(Feldstein,1972a,p.32-36,1972b,p.175-187)提出的、以第h家庭所得的社会边际效用定义的“第j商品的分配特征”(distributional characteristic)。这个概念用下式给定:

式中,

这是对各家庭所得的社会边际效用的简单平均。

这是第j商品的各家庭需求占总需求的比例。当然,把阿特金森和斯蒂格里兹(Atkinson and Stiglitz,1976,p.55-75)的(dj-1)称之为“第j商品的消费和所得的社会边际效用协方差”也未尝不可。

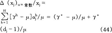
若利用第h家庭所得的社会边际效用和分配特征概念,最适商品课税的条件最终可表现为:

米尔利斯(Mirrlees,1976,p.327-358)把(44)式的左边称之为第j商品的“抑制指数”(index of discouragement),通常为负值。此式被看作是最适商品课税的基本公式。

为了理解这个基本公式,必须分析(44)式中的右边各项。

依据定义,第一项分子中出现的“γ*”是各家庭所得的社会边际效用的简单平均,故此,是把购买力转用于私人部门情况下的平均意义上的社会边际效用。分子中的另一项“μ”,如前所述,是因公共部门的税收增加而产生的社会边际效用。因此,如果公共部门的预算规模过大,第一项的值就为正,反之,就为负值。由此可见,从社会角度来看,第一项表明的是,私人部门还是公共部门行使购买力是“有效率的”。

第二项依赖于分配特性。依据定义,分配特性的分子是各家庭所得的社会边际效用以各家庭需求构成比进行加权平均的,所得的社会边际效用高的家庭,消费的商品相对就多,分配特性的值就大。所得的社会边际效用若不是递增的,属于“必需品”的商品的这种分配特性值变大;相反,属于“奢侈品”的商品的这种分配特性值变小。也就是说,从分配角度来看,第二项表明的是,商品的消费在社会上得到何种程度的评价。

4.结语

从经济政策目标及其实现目标的政策手段相对应这一观点来看,最适商品课税的基本公式给我们以极富有意义的启示。

从西方经济学界的各种主张来看,与最适课税问题有关的经济政策目标是“资源配置的效率性”和“收入分配的公平性”,这个基本公式为在确定税制结构时应将效率和公平结合起来的方法,提出了明确的说明。可是,对于政府来说,尽管有些政策手段可以制约商品课税给经济带来的“扰乱”因素,但要同时实现这两个目标,这些政策手段在质量上还是有欠缺的。

因此,最适商品课税在把那些扰乱因素所造成的资源配置低效率限定在最小程度的同时,不得不尽可能地追求所得分配的公平程度。这正是上述基本公式不得不采取兼顾资源配置与所得分配的折衷形式的原因。

在上述的折衷基本公式中,第一项与资源配置有关,第二项与收入分配有关。前者要求对无弹性商品课以高税率,而后者要求对无弹性商品不应课以高税率。第一项与第二项的这种对立,表明商品课税的资源配置效率性和收入分配公平性目标间存在著重大的权衡关系。。

【参考文献】:

最适课税论:综述(Theory of Optimal Taxation:A Summary)

最适所得课税论(Theory of Optimal Income Taxatiion)

所得税与特定商品课税的比较:中性方法(Comparison Between Income Taxes and Taxes on Specific Goods:The Neutrality Approach)

Atkinson, A. B. and J. E. Stiglitz, 1972, The Structure of Indirect Taxation and Economic Efficiency, Journal of Public Economics.

Atkinson, A. B. and J. E. Stiglitz, 1976, The Design of Tax Structure: Direct Versus Indirect Taxation, Journal of Public Economics 6.

Auerbach, A. J., 1985, The Theory of Excess Burden and Optimal Taxation, in A. J. Auerbach and M. S. Feldstein, eds., Handbook of Public Economics, North-Holland.

Boadway, R. W., 1979, Public Sector Economics, Massachusetts:Winthrop Publishers, Inc. .

Corlett, W. J. and D. C. Hague, 1953, Complementarity and Excess Burden of Taxation, Review of Economic Studies 21.

Deaton, A. S., 1977, Equity, Efficiency and the Struture of Indirect Taxation, Journal of Public Economics, 8.

Diamond , P. A. and J. A. Mirrlees, 1971, Optimal Taxation and Public Production I : Production Efficiency; Ⅱ: Tax Rules, American Economic Review 61.

Diamond, P. A., 1975, Inflation and the Comprehensive Tax Base, Journal of Public Economics, 4.

Dixit, A. K., 1970, On the Optimum Structure of Commodity Taxes,American Economic Review, 60.

Dixit, A. K., 1975, Welfare Effects of Tax and Price Changes, Journal of Public Economics 4.

Feldstein, M. S., 1972a, Distributional Equity and the Optimal Structure of Public Prices, American Economic Review 62.

Feldstein, M. S., 1972b, Equity and Efficiency in Public Sector Pricing: The Optimum Twopart Tariffs, Quarterly Journal of Economics 86.

Mirrlees, J. A., 1971, An Exploration in the Theory of Optimum Income Taxation, Review of Economic Studies 38.

Mirrlees, J. A., 1976, Optimal Tax Theory: A Synthesis, Journal of Public Economics 6.

Ramsey, F. P, 1927, A Contribution to the Theory of Taxation,Economic Journal, Vol.37,No.1..

Samuelson, P., 1986, Theory of Optimal Taxation, Journal of Public Economics 30.

Sandmo, A., 1976, Optimal Taxation: An Introduction to the Literature,Journal of Public Economics6.Chicago Press.

Stern, N. H., 1982, Optimum Taxation with Errors in Administration, Journal of Public Economics 17.

Stiglitz, J. E. and P. S. Dasgupta, 1971, Differential Taxation, Public Goods and Economic Efficiency, Review of Economic Studies, 38.

本间正明,1984,租税の经济理论,东京:创文社。

入谷纯,1981,ラムゼィ型最适课税问题,东京产业大学:经济经营论丛,第15卷。

入谷纯,1984,最适所得税:ァルゴリズムと近似可能性,季刊理论经济学,第35卷。

罗森,H.S.,1992,《财政学》,中国财政经济出版社中译版。

郭庆旺,1995a,《最适课税论:所得课税与商品课税的比较》,《财经问题研究》第7期。

郭庆旺,1995b,《最适所得课税》,《财经问题研究》,第8期。

郭庆旺、苑新丽、夏文丽,1994,《当代西方税收学》,东北财经大学出版社。

随便看

 

离鸟网收录3541549条中英文词条,其功能与新华字典、现代汉语词典、牛津高阶英汉词典等各类中英文词典类似,基本涵盖了全部常用中英文字词句的读音、释义及用法,是语言学习和写作的有利工具。

 

Copyright © 2004-2024 vtrois.com All Rights Reserved
更新时间:2026/4/7 4:46:43