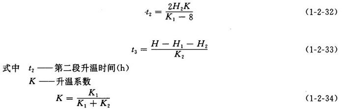
有两段升温的蒸煮曲线蒸煮时间的计算
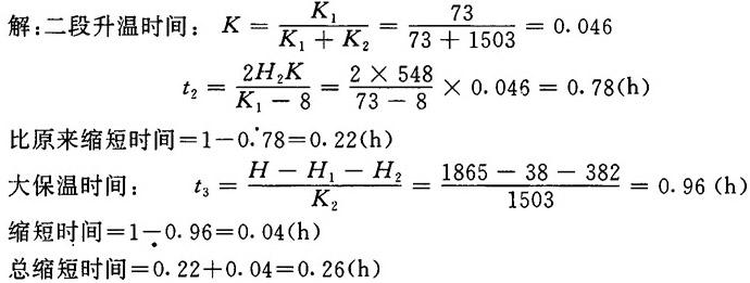
1.第一段升温及保温时间的计算 【说明】同式1-2-29、1-2-30、1-2-31。 2.第二段升温及保温时间的计算 【公式】  K1——第二段升温开始温度所对应的反应速度常数 K2——第二段最高温度对应的反应速度常数 H2——第二段升温时间标准H因子 t3——第二段保温时间(h) H1-一段升温和保温的H因子之和 H——总H因子 【例1】某厂在其它蒸煮条件不变的条件下,研究蒸煮曲线的改变。一段升温1h,小保温20min,二段升温1h,大保温1h,大放汽和放锅0.5h,总H因子1865,一段及小保温时的H1因子是38,二段的H2因子是548,最高蒸煮温度174℃,现因蒸煮用蒸汽的汽压不足,需临时改为170℃,则第二段升温及保温时间为多少?已知小保温终了的温度是141℃,此时的K1=73,170℃的K2=927;二段升温终了时H2=414。 解:升温时间。  二段的升温时间比原来延长: 1.23-1=0.23(h) 二段保温时间:  保温时间延长:1.52-1=0.52(h) 二段升温、保温延长总时间:0.23+0.52=0.75(h) 【例2】若将上例中蒸煮最高温度由174℃提高到176℃,此时K2=1503,H2=382,求升温和保温缩短的时间。  |