有关溶质质量分数的基本计算
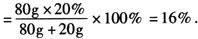
一定要分清什么物质是溶质,什么物质是溶剂;溶质质量和溶液质量各是多少. 例 将1.2g氯化钠完全溶解于水制得15g氯化钠溶液,求此氯化钠溶液中溶质的质量分数. 解 根据溶质的质量分数计算公式:氯化钠的质量分数 . 答:此氯化钠溶液中溶质的质量分数为8.0%. 注意 计算溶液的质量不一定按溶液质量=溶质质量+溶剂质量.当溶质质量或溶剂质量增减时,溶液的质量可在原溶液质量的基础上加上(或减去)增加(或减少)的溶质质量和溶剂的质量.当溶质质量和溶液质量改变时,溶质的质量分数也会相应改变.其变化规律是: 1.当溶质质量不变,溶剂质量增加时,溶液质量增加,溶质的质量分数减小. 2.当溶质质量不变,溶剂质量减少时,溶液质量减少,溶质的质量分数增大. 3.当溶质质量增加,溶剂质量不变时,溶液质量增加,溶质的质量分数增大. 4.当溶质质量减少,溶剂质量不变时,溶液质量减少,溶质的质量分数减小. 5.当溶质质量和溶剂质量等比例改变时,溶质的质量分数不变. 例 将80克20%NaOH溶液加入20克NaOH或加入20克水后所得溶液中溶质的质量分数分别是多少? 解 加入20gNaOH后, 溶质的质量分数  加入20g水后溶质的质量分数  答:加入20gNaOH后,溶质的质量分数是36%,加入20g水后溶质的质量分数是16%. |