网站首页  词典首页


请输入您要查询的字词:

 

字词 有关溶质质量分数的计算
类别 中英文字词句释义及详细解析
释义 有关溶质质量分数的计算

公式:

稀释公式:浓溶液质量×稀释前浓度=稀溶液质量×稀释后浓度

浓溶液质量×大浓度+稀溶液质量×小浓度=混合溶液×中浓度.

例1 现有质量分数为10%的NaCl溶液40克,要使其溶质的质量分数达到20%,可采用的方法是( ).

A.蒸发20克水 B.蒸发24克水

C.加入3.2克NaCl D.加入5克NaCl

【分析】 提高溶质质量分数的方法有两种:

一是增加溶质:利用溶剂质量不变.

设:所加溶质质量为x.

40g×(1-10%)=(40+x)×(1-20%).

x=5g.

二是蒸发溶剂:利用溶质质量不变.

设:蒸发溶剂质量为y.

40g×10%=(40-x)×20%.

x=20g.

答案 AD.

例2 取一定量含杂质的某金属R的样品,投入到73g质量分数为20%的盐酸中,金属与盐酸恰好完全反应(杂质不参加反应),测得金属氯化物中氯元素的质量分数为74.7%.求(1)样品中金属R的质量?(2)所得溶液中溶质的质量分数?

【分析】 此题未说明金属R为哪种,不知其相对原子质量,且不知其与盐酸反应生成的金属氯化物中R的化合价是多少,所以不能完全照搬根据化学方程式的计算方法.

解 利用元素守恒解题.

2R+2xHCl=2RClx+xH2/p>

盐酸中HCl的质量:73g×20%=14.6g.其中Cl元素质量为:

∵在RClx中Cl元素质量占74.7%

∴R元素质量=4.8g.

∴RCl↓(x的总质量=14.2g+4.8g=19g.

水的质量为73g×(1-20%)=58.4g.

故所得溶液的质量分数

例3 t℃时15g碳酸钙粉末恰好与一定质量盐酸完全反应,反应后的溶液的溶质质量分数为25%.求所用盐酸溶液的溶质质量分数.

可根据CaCO3的质量求出与之恰好完全反应的HCl溶液中溶质的质量.

反应后的溶液是CaCl2溶液,且有:

m(CaCl2溶液)=m(HCl溶液)+m(CaCO3)-m(CO2

根据化学方程式及CaCO↓(3的质量可求出m(CO2)和m(CaCl2).

由m(CaCl2)m(CaCl2溶液)进而可求出m(HCl溶液).

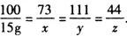
解 设HCl溶液中溶质质量为x,生成CaCl2质量为y,CO2质量为z.

CaCO3+2HCl=CaCl2+H2O+CO2/p>

100 73 111 44

15g x y z

∴x=10.95g,y=16.65g,z=6.6g.

∵m(CaCl↓(2溶液)

=m(HCl溶液)+m(CaCO3)-m(CO2)

∴66.6g=m(HCl溶液)+15g-6.6g.

∴m(HCl溶液)=58.2g.

答 略.

例4 一定质量的锌粒投入100g稀盐酸中完全反应,得到氯化锌溶液106.3g,求:

(1)生成的氢气在标准状况下的体积(ρH2为0.09g/L);

(2)投入锌的质量;

(3)氯化锌溶液的溶质质量分数.

【分析】 该题可以用差量法来计算,从溶液增量求反应中氢气、锌及氯化锌的质量,然后再求出ZnCl2溶液的溶质质量分数

解 设产生氢气的质量为x,Zn和ZnCl2质量分别为y,z.

Zn+2HCl=ZnCl2+H2↑ 增量

答 略

随便看

 

离鸟网收录3541549条中英文词条,其功能与新华字典、现代汉语词典、牛津高阶英汉词典等各类中英文词典类似,基本涵盖了全部常用中英文字词句的读音、释义及用法,是语言学习和写作的有利工具。

 

Copyright © 2004-2024 vtrois.com All Rights Reserved
更新时间:2026/5/30 11:36:30