网站首页  词典首页


请输入您要查询的字词:

 

字词 有效估计量
类别 中英文字词句释义及详细解析
释义 有效估计量

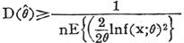
指无偏估计量的方差,不可以任意小,在某些条件下(有关的概率密度或分布律关于参数可微,并且微分和积分次序可以交换),它的方差的下界由罗一克诺美(Rao-Cramer)不等式给出:

虽然这个下界依赖于总体的概率密度或分布律f(x;θ),也依赖于样本容量n,如果是参数θ的一个无偏估计量,它的方差达到上式给出的下界,则称是有效估计量。

的任一无偏估计量,设它的方差为D(θ1),记:

上式则称为无偏估计量的有效率。满足前述条件的无偏估计量1,其有效率满足,有效估计量的有效率

随便看

 

离鸟网收录3541549条中英文词条,其功能与新华字典、现代汉语词典、牛津高阶英汉词典等各类中英文词典类似,基本涵盖了全部常用中英文字词句的读音、释义及用法,是语言学习和写作的有利工具。

 

Copyright © 2004-2024 vtrois.com All Rights Reserved
更新时间:2026/4/7 10:40:58