网站首页  词典首页


请输入您要查询的字词:

 

字词 有效打浆面积
类别 中英文字词句释义及详细解析
释义 有效打浆面积

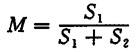
【公式】

式中 F——有效磨浆面积(cm2)

D——磨盘齿外径(cm)

d——磨盘齿内径(cm)

F1——磨区总面积(cm2)

M——磨盘上刃齿占有面积系数

S1——齿宽(cm)

S2——槽宽(cm)

随便看

 

离鸟网收录3541549条中英文词条,其功能与新华字典、现代汉语词典、牛津高阶英汉词典等各类中英文词典类似,基本涵盖了全部常用中英文字词句的读音、释义及用法,是语言学习和写作的有利工具。

 

Copyright © 2004-2024 vtrois.com All Rights Reserved
更新时间:2026/4/7 9:30:40