网站首页  词典首页


请输入您要查询的字词:

 

字词 有机物燃烧通式的应用
类别 中英文字词句释义及详细解析
释义 有机物燃烧通式的应用

由燃烧通式可得到如下三条规律:

规律1:耗氧量大小比较:

(1)等质量的烃(CxHy)完全燃烧时,耗氧量及生成物CO2和H2O的量均决定y/x的比值大小,比值越大,耗氧量越多.

(2)等质量具有相同最简式的有机物完全燃烧时,其耗氧量相等,燃烧产物相同,比例亦相同.

(3)等物质的量的烃(CxHy)及其含氧衍生物(CxHyOz)完全燃烧时耗氧的大小取决于(),其值越大,耗氧量越多.

(4)等物质的量的不饱和烃与该烃的水加成的产物(如乙烯和乙醇,乙炔与乙醛等)或加成产物的同分异构体完全燃烧时,耗氧量相同.

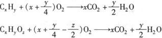
规律2∶CxHyOz(g)燃烧规律如下:

y>4—2z时,燃烧后,气体体积增大(100℃以上,下同);

y=4—2z时,燃烧前后气体体积不变;

y<4—2z时,燃烧后气体体积减少(不合理).

上式中若z=0,即为烃燃烧的规律.

烃中反应前后总体积不变化的有甲烷、乙烯和丙炔气体,总体积减少的是乙炔,其它皆为体积增加.

规律3:(1)有机物燃烧后(相同状况下)nCO2∶nH2O

(2)分子中具有相同碳(或氢)原子的有机物混合,只要混合物总物质的量恒定,完全燃烧后产生的CO2(或H2O)的量也一定是恒定值.

例 (2003苏粤·23)A是一种含碳、氢、氧三种元素的有机化合物.已知:A中碳的质量分数为44.1%,氢的质量分数为8.82%;A只含有一种官能团,且每个碳原子上最多只连一个官能团:A能与乙酸发生酯化反应,但不能在两个相邻碳原子上发生消去反应.请填空:

(1)A的分子式是__,其结构简式是__

(2)写出A与乙酸反应的化学方程式:___.

(3)写出所有满足下列3个条件的A的同分异构体的结构简式.❶ 属直链化合物;
❷ 与A具有相同的官能团;
❸ 每个碳原子上最多只连一个官能团.这些同分异构体的结构简式是__.

解析 (1)A是一种含碳、氢、氧三种元素的有机化合物,故可列式得出C、H、O三元素的原子个数比=5∶12∶4,从中可确定其实验式为C5H12O4;因为该实验式中H原子个数已经饱和,所以实验式即分子式C5H12O4.根据A只含有一种官能团,且每个碳原子上最多只连一个官能团及A能与乙酸发生酯化反应,但不能在两个相邻碳原子上发生消去反应等信息,可推得该化合物的结构简式为

;(3)本小问是有关同分构体的书写,根据题给条件,移动—OH的位置,可以写出答案中的三种结构.

随便看

 

离鸟网收录3541549条中英文词条,其功能与新华字典、现代汉语词典、牛津高阶英汉词典等各类中英文词典类似,基本涵盖了全部常用中英文字词句的读音、释义及用法,是语言学习和写作的有利工具。

 

Copyright © 2004-2024 vtrois.com All Rights Reserved
更新时间:2026/4/7 17:54:54